Kursishlari.uz
Bosh sahifa/Amaliy ishlar | Algebra/Ko'rsatkichli va logarifmik tengsizliklar
Product slide 1
Product slide 2
Product slide 3
Product slide 4
Product slide 5
20
Premium Content

Ko'rsatkichli va logarifmik tengsizliklar

8,900so'm
Betlar soni
11 ta
Fayl hajmi
2.28 MB
Fayl turi
.pptx

Mahsulot tavsifi

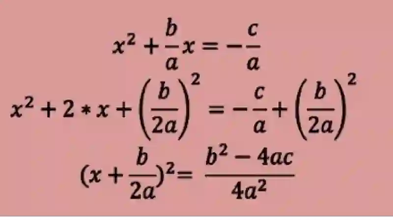
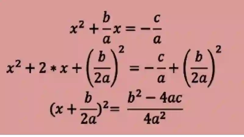
Ko'rsatkichli va logarifmik tenglama va tengsizliklar haqida nazariy ma'lumot.

Teglar

#daraja#logarifmik#funkciya#xossalarga ega#ko'rsatkichli tenglama
Azizbek Toʻlqinov

Muallif

Azizbek Toʻlqinov

Tasdiqlangan sotuvchi

Jami mahsulotlar553 ta
Sotilgan19 ta